电话:15192148777
邮箱:leary18365778312@outlook.com
新闻资讯
网站首页 > 新闻资讯
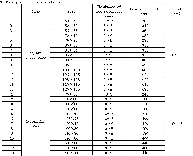
Specification Table for Square and Rectangular Tub